As large language models (LLMs) increasingly replace traditional search engines as tools for information gathering, the use of AI in the political arena—and its impact on elections—is inevitable. Recent research published in Nature and Science suggests that AI chatbots are not merely passive sources of election information; they can actively shape voter attitudes in measurable and durable ways.
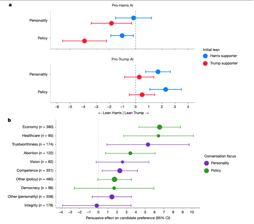
In the Nature study, more than 2,000 participants were randomly assigned to an AI chatbot trained to favor either former Vice President Kamala Harris or President Donald Trump. After roughly six minutes of interaction, the pro-Harris AI shifted likely Trump voters 3.9 points toward Harris on a 100-point preference scale, an effect roughly four times larger than the average impact of traditional political advertisements tested in the 2016 and 2020 elections. To test whether these effects were context-specific, researchers replicated the experiment during the 2025 Canadian federal election and the 2025 Polish presidential election. In both cases, the chatbot had an even larger effect on participants, shifting them about 10 points after the AI interaction.

A complementary study published in Science sought to understand what makes chatbots so persuasive. By asking nearly 77,000 participants to interact with 19 LLMs on more than 700 political topics, researchers found that exposure to dense factual claims was associated with measurable opinion shifts. Notably, this “information density” was effective regardless of whether the facts were accurate; rather, it’s simply the use of dense factual claims to back an argument that convinces users.
These findings challenge decades of conventional wisdom in campaigns and issue advocacy. Traditional political messaging relies heavily on emotional appeals designed to trigger fear, anger, hope, and solidarity. Campaign emails and text messages, social media ads, and robocalls are designed to provoke emotional responses that mobilize voters to a “call to action”—whether that be through donating, signing a letter, or voting for a candidate or ballot initiative.
Conversational AI changes that dynamic. In these studies, chatbots were most persuasive when they engaged users in calm, evidence-oriented dialogue that acknowledged concerns and connected arguments to broadly shared values. In contrast, the use of “psychological persuasion strategies such as social influence, storytelling, reciprocity, testimonials, or stimulating anger” by the chatbot was not as well received and were less effective. Evidence-based dialogue produced by a friendly AI model that sympathized with user values as it presented evidence in favor of a political bias made a lasting impact.
In the 2024 election cycle, campaigns spent $1.9 billion on online political advertising alone. As conversational AI becomes easier to train and deploy, the economics of political communication begins to shift. The barrier to entry falls: Campaigns with limited resources may no longer face the same structural disadvantages, as low-cost, customizable chatbots can replicate forms of personalized, trusted engagement that once required large budgets and staff. As AI voice and chat agents become embedded in routine campaign operations, these tools are likely to move from experimental add-ons to core infrastructure shaping how political influence is exercised at scale.
These developments also highlight long-standing tensions surrounding AI and emerging technologies at large. Chatbots trained on biased or inaccurate data may exploit their persuasive capacity to present falsehoods as facts, potentially spreading misinformation and deepening political polarization. The very attributes that make conversational AI effective—trust, interactivity, and fluency—also make it uniquely well suited for manipulation, blurring the line between helpful engagement and undue influence.
When thinking about AI as a political tool, we must consider whether AI changes people’s opinions by correcting their lack of knowledge about opposing candidates’ positions or by manipulating them through misinformation. The evidence suggests that how information is delivered may matter as much as the information itself, particularly when conveyed through interactive systems that simulate trust. Undeniably, the novel use of AI in political communication will have long-term implications for the future of campaign messaging, election outcomes, and voter persuasion. Understanding this dynamic will be crucial as campaigns, regulators, and voters adapt to an AI-mediated political landscape. Whether this shift strengthens democratic deliberation or quietly erodes it will depend on choices being made now about how persuasive AI is designed, deployed, and governed.